振型的正交性
从上面的推导过程我们可以看出,振型分解就是将质点的水平运动在一个新的广义基上度量,将本来三个质点三个水平方向上的自由度转换为在三个振型方向上的自由度,每个振型将三个孤立的质量联系到了一起,这样的转换有什么好处呢?解释这个问题这需要用到振型关于质量矩阵和刚度矩阵的正交性原理。振型正交性的表达式为:当
时,
式中K与M为矩阵形式,它的物理意义可以用三维空间坐标系来类比说明,如下图:

运动在空间中可以分解到x、y、z三个自由度方向,外力也可以在同一坐标系下分解,每个方向的力只引起相应方向的运动,当运动以振型形状为坐标进行分解时,作用于每个质点上的动力也向由振型变换的某个向量上分解,由上节所述,在此向量上刚度矩阵与质量矩阵的比值为一常数特征值,此时每个振型方向的外力只引起相应振型的运动,对其它振型的影响为0。因此我们可以仿效三维空间下运动的求解思路,将位移与外力进行分解,从而可以实现各振型之间的解耦,把三个联立微分方程拆分为3个独立的微分方程,使求解大大简化。
位移与惯性力的振型展开
现在把有阻尼和外力的完整的多自由度微分方程写出如下,为了表达方便,将矩阵和向量用粗体字母表示:
式中地震振动已经写成等效惯性力的形式,将位移按振型分解,
,将其代入上式,得:
上式左右各乘以
,利用振型的正交性,消去正交项,得:
,设
,叫做第n振型的模态质量,两边同除以
,利用单自由度体系
,
,可化简为
得
,设
为
,即为抗规5.2.2条中的振型参与系数。
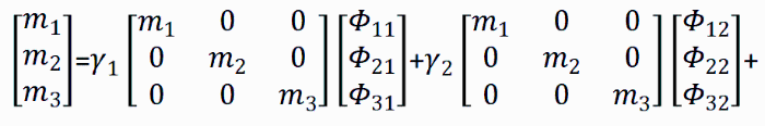
我们还可以直接将振动与外力都分解到各振型上直接计算,位移分解方法前面已经得到,现在推导外力的分解方法。地震力的分布我们已经知道,如下图所示:

外部动力的特点是随时间变化的部分在各质点上是相同的,不同的是前面的系数部分
、
、
,我们把它写成向量形式
因为质点上的惯性力、阻尼力与回复力都和质量与位移的函数成正比,对质点上的惯性力进行分解时,需要将这个向量向以质量矩阵与振型向量之积构成的广义基上分解
即将质量向量写成


写成字母的形式为:
两边同乘以
,
,得
,
,
,得
,
,
这样就将向量
拆分为
、
,
三个分量。
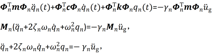
将位移与惯性力均在振型n上展开,得:
,两边同乘
,得:

从而可以得出和前面推导相同的结论。这样我们就实现了将三个耦连的由位移
表示的方程,按照振型
,拆分成了三个独立的方程,众所周知,n个独立方程求解速度比n个耦连方程要快的多,从而大大加快了求解速度。
当我们思考事物的联系时,很多道理是相通的
三自由度体系惯性力的振型分解
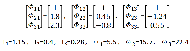
下面我们来计算上面三自由度体系的地震内力。前面我们已经求出振型、频率如下:

我们首先求出第一振型的地震力分布:

根据按照同样思路,我们可以求出振型2和振型3的振型参与系数与地震力分布

至此我们就求出了各振型在每个质点上的地震力分布(即任一时刻地震力大小的相对值),分布形式与振型的形状相同,如下图所示:

略去计算误差,每个质点上的三个力的代数和都等于1,即等于总的地震力分布。每个振型分配在每个节点上的动力为上图中的数值与
之积,也就是在任一时刻,某个振型不同质点上作用的动力随时间的变化关系是相同的,唯一不同的是幅值。
我们将多自由度在各振型上的振动方程和单自由度运动方程对比:

可以看出,
,因为单质点的动力计算是最简单的,所以我们可以先计算出单质点的位移
,就可以求出第n振型的振型位移
,再根据位移
与振型位移
的关系
可求出第n振型对位移的贡献。至此我们就由单自由度的位移结果求出了各振型的位移结果,然后在任一时刻将各振型的结果简单叠加就可以得到每个质点的位移,再进行一阶与二阶求导就可以求各质点的速度与加速度。
参考文献:
1. 结构动力学—理论及其在地震工程中的应用(第四版) Anil K. Chopra
2. 结构动力学(第二版) R. Clough
来源:结构茶馆